728x90
Random Variable에 관해서는 확률론자와 통계론자가 말하는 바를 비교할 수 있다.
머신러닝을 공부하는 우리는 확률론자쪽에 더 가깝다고 볼 수 있다.
확률론에서 확률 변수(確率變數, 영어: random variable)는 확률 공간에서 다른 가측 공간으로 가는 가측 함수이다.
글로 이해가 안되니 예시를 하나 들어보고자 한다.
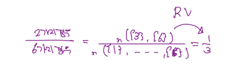
만약 주사위를 던져 3의 배수가 나올 확률을 보고자 한다.
아마 다음과 같이 모든 경우의 수는 1-6이 나올 수 있지만, 3 또는 6이 나와야겠지...??
하면서 아래와 같은 식을 적을 것이다.

이미 우리는 Random Variable에대해 알고 있다고 볼 수 있다.
집합의 단위를 실수로 Random Variable했다는 것이다.
즉 Random Variable은 현재 내가 관심 있는 대상 혹은 관점(내가 측정하고 싶은 확률 공간)으로 바꾼다는 것이다.
Random Variable을 가장 잘 활용한 예시가 "몬티홀의 딜레마"이다.

닫혀 있는 문 3개가 있다.
한 문 뒤에는 상품(=자동차)이 있고, 나머지 두 문은 꽝(=염소)이다.
참가자는 이 3가지 문 중 하나를 골라야 상품을 얻을 수 있다.참가자가 문 하나를 고르면, 사회자는 남은 2가지 문 중에 하나를 열고 그게 '꽝'이라는 사실을 밝힌다.
여기서 참가자에게 다른 문으로 바꿀 수 있는 기회가 주어진다.
라는 문제이다.
답은 문을 바꿔야 상품을 탈 확률이 올라간다는 것이다.
1. 나는 문을 무조건 바꾼다
-
처음에 염소가 있는 문을 선택할 확률 = 2/3- 사회자는 무조건 염소가 있는 문을 선택해서 열 수밖에 없다 = 1/1
- 문을 바꿨을 경우 자동차가 있을 확률 = 1/1
- 2/3 * 1/1 * 1/1 = 2/3ii. 처음에 자동차가 있는 문을 선택할 확률 = 1/3a) 사회자가 염소가 있는 문 중 첫번째 것을 선택할 확률 = 1/2- 문을 바꿨을 경우 자동차가 있을 확률 = 0/1
- 1/3 * 1/2 * 0/1 = 0/6b) 사회자가 염소가 있는 문 중 두번째 것을 선택할 확률 = 1/2- 문을 바꿨을 경우 자동차가 있을 확률 = 0/1
- 1/3 * 1/2 * 0/1 = 0/6
- 0/6 + 0/6 = 0/6
- 2/3 + 0/6 = 2/3
하여, 내가 문을 무조건 바꿀 때 자동차를 선택할 확률은 2/3이 된다.
2. 나는 문을 무조건 바꾸지 않는다.
2. 나는 문을 무조건 바꾸지 않는다.
-
처음에 염소가 있는 문을 선택할 확률 = 2/3- 사회자는 무조건 염소가 있는 문을 선택해서 열 수밖에 없다 = 1/1
- 문을 바꾸지 않았을 경우 자동차가 있을 확률 = 0/1
- 2/3 * 1/1 * 0/1 = 0/3ii. 처음에 자동차가 있는 문을 선택할 확률 = 1/3a) 사회자가 염소가 있는 문 중 첫번째 것을 선택할 확률 = 1/2- 문을 바꾸지 않았을 경우 자동차가 있을 확률 = 1/1
- 1/3 * 1/2 * 1/1 = 1/6b) 사회자가 염소가 있는 문 중 두번째 것을 선택할 확률 = 1/2- 문을 바꾸지 않았을 경우 자동차가 있을 확률 = 1/1
- 1/3 * 1/2 * 1/1 = 1/6
- 1/6 + 1/6 = 2/6 = 1/3
- 0/3 + 1/3 = 1/3
하여, 내가 문을 무조건 바꾸지 않을 때 자동차를 선택할 확률은 1/3이 된다.
출처 : https://namu.wiki/w/%EB%AA%AC%ED%8B%B0%20%ED%99%80%20%EB%AC%B8%EC%A0%9C
이를 계산 할때 3개의 문중 하나를 고르는 상황에서 2개의 문중 하나의 문을 고르는 상황으로 바뀌게 된다.
이또한 Random Variable이라고 볼 수 있다.
문제에 대해 흥미가 생겼다면, 위의 나무위키를 참고하길 바란다.
728x90
'michine learning(미친러닝) > 확률' 카테고리의 다른 글
| (확률) multivariaterandon variable (0) | 2023.07.13 |
|---|---|
| (확률) PDF(Probability Density Function), CDF(Cumulative Density Function) (0) | 2023.07.13 |
댓글